70以上 ÝÂ Ý Ìq ¯^ AW 140829
LogSS K S å Ã Ý « Â'Å _ > 8 Z c Z/² >, G b S u 9×1* < M b (7³ x7V d @ \ ^ >, W _ > 8 Z è V b B ( @AD n I S7 _$Î#Õ M ¡ ~3É K M 6 S H 1/S SG H H /Õ (Ô 3ë"I ö Â'Å Fig1 å Ã Ý « Â'Å (Ô Fig2 TSP #Ý 8 S å Ã Ý « Â'Å'ì Ô ¹ Ý WZ hCASBEE ° A Ý Â ;M Ý ç â Ã i õ ` õ * m Ý
Pirou Simple Made Stylish Font Bypeople
ÝÂ Ý Ìq "¯^ A"W
ÝÂ Ý Ìq "¯^ A"W-' ¥&ìf·>Ý ¥% gvgwgqg=' 6ä ì i gwg4g gw g x ) h %th @Ð Í7 ö ¢ ì i * >Ý>Ù>Þ) >Ý>Ü>æ>Ü>Ü >Ý>Ü>æ>Ý>Ü >ß>Ù>à) >Ý>Ü>æ>Ý>Ü >Ý>Ü>æ>Þ>Üý ¡ ¡ Ü!ô!ü!Ì q q ° N ¿ r » " » » P ¢ !



Q 5 6 A Sequential Circuit With Two D Flip Flops A And B Two Inputs X And Y And One Output Z Is Youtube
°29 >0>>0>/ º>3 v>2 ¥ 8p ) > > >·> > >» X !l >>·> )r !l 4 #Ý 8p ) > > >·> > >» X !l >>·> )r !l 4 #ÝBp>Ý>á >à Bp>Ý>á >à Bp>Ý>á >ß Bp>Ý>â >à Bp>Ý>â >ß Bp>Ý>â >Ý Bp>Ý>ã >ß Bp>Ý>ã >Þ Bp>Ý>ã >à Bp>Ý>ä >ß Bp>Ý>ä >à Bp>Ý>ä >Þ Bp>Ý>å >Ý Bp>Ý>å >Ý Bp>Ý>å >ß Bp>Þ>Ü >Þ Bp>Þ>Ü >Þ Bp>Þ>Ü >à ç ôH º Ø>Ì>Þ(í 0¿ µ d'ö# /¡'¨ M è 0è9 H ¥ M ''õ ¥ ë ú ú ¹ !
B >Ý gføfÿb b >åhz>Ý>Þ ìg >Ý>ßhz>Ý>ã ìg >Ý>ähz>Þ>Þ ìfþ (g"g fófö>Ý gføfçg féf¹ b g fþ0ò(ýfû6õfçföfÿf¸gig gnghg gfg"fä0tfßfðfåfÔf¹ >Þ>Ü>Ý>à º>à v>Ý ¥ 5 bî à î º D K, 8 ~ x 5 ý I Õ 8 Q Þ ð° A Ý Â ¯ x z ®CASBEE P ý ¯ w & Y s á ;
é z I t n õ Î » â!A Study of Environmental Load Reduction Technique for University Facilities Part16 The energy use actual condition in a university campus G Kazuaki SAKODA *1 Yasuhide OKAMOTO *1 Yasunori AKASHI*1 *1 The University of Tokyo In the UTokyo, TSCP office serves as a subject, and it is leading and advancing production of a sustainable campus'¨ G 7ü ¸ ¥ å ¸ « º ) Ý >;



Delouisville Abstract Fonts Download Free Fonts



Review Of Electoral Arrangements For The County Borough Of The Vale Of Glamorgan Penarthtowncouncil Gov Uk
, @ ý â o Ü @ » n !7/ â õ z ³ â O º Ô ô z õ 1 ³ d P 3 n é 0 ¢ ô â é È e pô2« kø Author tses3 Created Date AM



Pirou Simple Made Stylish Font Bypeople



Polymers Free Full Text Preparations Properties And Applications Of Polyaniline And Polyaniline Thin Films A Review Html
Ý â û } 9 È i q ó M !Û @ £ ú õ B B î ô W d @ Q 0 c ) p Ý p ô Q 0 Ý p ô zO Ì Q 0 Ý p zX6/ µ â ý e â û ô ¸ ò ;



Assessing The Conservation Status Of The World S Tropical Forest Part 1 Subregional Reviews Tropical Latin America Sections 11 13 I A If O 5 Lt O N A U B S At N



Phylogeography Of Human Y Chromosome Haplogroup Q3 L275 From An Academic Citizen Science Collaboration Bmc Ecology And Evolution Full Text
ô i Ä Q q I ¢ @ Ý b , C ô ` ý n Ý b ¨ @ â O < c ¶ Û ö ö !¥ y 8ô ¥ 8ô ¥ ¥ y 8ô ¥ 8ô ¥ ¥ y 8ô ¥ 8ô ¥ ¥ y 8ô ¥ 8ô ¥ ¥ y 8ô ¥ 8ô ¥ ¥ y 8ô ¥ 8ô ¥ú ¢ À b i Ý µ â â 3 D â ô w t ç 4 ã æ l i q À ô ý q ß â á f â û } 9 ö l t } ß â æ T ¢ @ Ä !



Solved In This Question We Re Going To Solve The Ode 1 Chegg Com



Koreascience Or Kr
Q Ó t è $ q ` h M S p z e U Z ` h ®CASBEE P ý ¯ t P E P w ¥ Q ó ° A A L H ~ t b Ô ù t z f w ô T Q Ì < z*#&$ £ T Ý !{ w » â!>Þ>Ü>Ý>ä º>Ý>Ü v>Þ>Ý ¥H ¥H ET>á?



Chiyaw Font By Dicubit Graphicriver



Y Wiktionary
3 $2 Ç á å ç É ¿ Ä ë « t Ö b Í » ï w ^ R q (a) ü  ` h ¦ ò( ( x Ã Ô b) (b) 2 = ` h ¦ ò y(c) Ç á å ç É ¿ Ä ë « t Ö b Í » ï Fig2 Procedures for production of patterns inputted into neural networks y y y y y y y (a) divided fingerprint>Ú ¡ S 0°6 >Ý >ã>Ü>Þ ¡#å>Ì's >Ü>æ>Ý>â>æ>Ý>ß >Þ >ã>Ý>Þ V5 >Ì ¶2 >Ü>æ>Ý>â>æ>á>å >ß >ã>Þ>à p £>Ì Å >Ü>æ>Þ>Ü>æ>Ý>Ý >à >ã>Ý>Ü ß#ã>Ì >Ü>æ>Þ>Ý>æ>à>à >â >ã>Þ>ß 14 £>ÌI § * q ô 1 ) Ð â þ ¹ / Í M e p Î Ï Ý Ü ú Î Ï ú Í n o !



Solutions To Linear Algebra Stephen H Friedberg Fourth Edition Chapter 2



Systems Of Equations With Elimination 3y 4x 11 Y 2x 13 Video Khan Academy
/ â ã µ â t > ý â ¶ ý Þ * !!4(g #ë h 4 g\ h glgxg g_gy 33û n ng\3·4g2§ m \ $"@9 #ã /,1f·3¶,13¶ >ò g2g8g s ±& &k ¾ ° #fþ ¾ \ ( ¾ô h £ ¡ ¯ ¡ ¡ à ~ Â Ú t ® £!Ì!Ì!Ì ¦ 3 Ý ¡ ¡ à ~!Ì ¦ F h ¡ ¡ à ~!Ì ¦ N ä ¡ ¡ à ~!Ì ¸ ¸ » ¢ à ¯ N " ý ¢ ´ N t ý ¢ N t e g ý Â Ú t ® £!Ì ® ¢ e " ö ¢" !



Y Dosraniad Binomial Profion Bernoulli Bernoulli Trials Profion Sydd A Dim Ond 2 Ganlyniad Posibl A Bernoulli Trial Is A Random Experiment With Only Ppt Download



Multiagent Learning Using A Variable Learning Rate M
ã Ò ô ÿ Q Ý b è ö ( Ð f ô @ ¨ ¾ ý õ A } ý õ ï ý õ ò ;ú ¨ n D â ô w Ï ý q Á ß â á f â û } 9 ô Á 4 z n Ý ~ ¢ ô C i qN } s ÿ Ý ' t M ¤ ç m þ 4 !



Q3 A Q3 Let Coordinates Of The Points A And B Are 5 0 And 0 7 Respectively P Maths Straight Lines Meritnation Com



Secml
5/ d µ â ý e â û ô ¸ ý 0 ¢ â ÷ 1 Ð ý â é ³ Ã " m ö!Ý × a I Q ;Þ ã > µ µ { w q ã ' H á Á È ú å Ê µ a w " µ z y b q q µ U± ád q q q µ µ µ µ µ µ µ Å µ z ¶ N µ z ¶ z y à ß µ



Join If Your Name Starts With A C E G I K M O Q S U W Y Home Facebook



Comparing Register And Survey Wealth Data Fredrik Johansson
( S » î I à î ¨ à Ñ I 7 ¿ ù Ë ø ù ý î ¨ Þ q ¯ S î ¯ ÷ W À q ² ± ý a a × I × J W Ý ¿ Ý 3 K ' à 1 Ý , I a W $ ~ x 5 ý ( 3 > ç Ñ r À q ;ý á Q Ð µ â ô 0 ¢ P 3 ÷ 1 Ð ý â é ³ Ã " m ö!Q q q q q q ø½ C Þ à ý å ù µ S O !



Romanserif Abstract Fonts Download Free Fonts



Minq8 General Definite And Bound Constrained Indefinite Quadratic Programming Springerlink
Title Microsoft Word ð qâ x!þ Ý â O è ô 0 V e I ¢ Þ Ì ò Ì Õ & q í á ô õ ú µ } o H Ý / Ì ô p ò $ Â ü Ä q Ó õ Í o ;õ â t ä õ l ú õ ¾ ô 2 t ö õ â e ú ô ¿ ¿ i ö!



Q 3 5 Simplify The Following Boolean Functions Using Four Variable Maps A F W X Y Z Sum 1 Youtube



10 Display On Behance
Q > Q Q ¹ Q 7 ?Gwg>gxg g0g{gcg gy 0y f·f·f·f·f·fÈ>å>á>Ü>Ù>Þ>Ü>à>Ý f·f·f·f·f² w0y ¾>á n% >Þ>â$ >å f·f·f·f·fw7h &kf·gmgxg9 û#ì> "D > Ð ù ù ã 5 ý P À ² T d 2 È ¯ a a b a ¢ ö à ³ I ¯ ð > F î Q > Q ¹ D ² ¨ D ß x K 7 , b Ò} ò I S × , Ð Ù ¿ , Ô Ð 2 S x  % } x ò Õ , Ô Â , m D Õ a I S 5 t , b × ò I ¹ × Q D Õ Z Ý ' (  $ b Õ I a @ ø b Õ a 5 ý ³ à î à D ß x 5 ý × Q R Q C Q Q W ç a À Ø à î Ò Þ a P x



A Proximal Gradient Algorithm For Tracking Cascades Over



Math 148 001 002 Quiz 9 Name A Q
E 6 ´ o p E t W ¿ p ¥ O Y p §!ïî ÿðø Ý ð x ðö ðê î Ü ü øé ð Ù ` ø ð ðï ì ð ðü î î Üï âö Ö ðÝ îÙøø ßÿ ö ð êøüÝÿ Ô è â Å Î « Ï â Å Í Î Á Ý â Ï â Å Í Î Ï Ý Î Î Á Å ¾ Ì Ì â ¼ Ô â Æ â ÿ î ÖÜ îÝ é Ü îÝ Ü ü éîÙøø ßÿY ò õ Þ ï ä Ó ¹ è ¹



Pure Tue Nl



Type Eric Lish
¸ » ß ¤ y Z u p õ É ( V E 8 À 8 ;>Ì q#Ý Ø >Ì q#Ý# c >Ì q ` dfâ w8 fû0°3ufþ Æ fÿ 5, fífþ Úfûg g £ Ìfúfß ffûfúg fÜfÒg g féf¹ £g fä ¢ fßfðfåfÔf¹ d/õ 4 ¦ 6"' >Þ >ß >à >á >â >Ý >Þ >ß >à f>á 4 ¡ 4 ¡ ¦2a * >ã >ä 5"' 1 >ã>ß>Ú>á>Ì?å È } 9 n ¢ ³ t } â!



Solutions To Linear Algebra Stephen H Friedberg Fourth Edition Chapter 2



Sgmcoe In
Title Microsoft Word 110ç å ±å °(å°±è® )æ é¡ æ ¸(812ç è³ ç§ æ °åª è¡¨è ) AuthorÏ º H o p / H ø 6 s ' q ( f õ ¤ p õ 7 p p ù!/ e À à i E t ú!



Math Univ Paris13 Fr



Pdf Handbook Of Document Image Processing And Recognition Semantic Scholar
³ ç ö W ï í ì õ r í í ì â K o ¥ µ ý Þ µ â Å Õ x ý Ä & q * q ý â é § ÷ P 3 § "{ ú ô c!U H ~ q ` o l $ t $ ¬ ~ % p p K T ù * t K h l o x z ¤ > ò è t 0 b ° A w



Cytology With Special Reference To The Metazoan Nucleus Cells N If 0 O Y Fig 53 Lt L A A Q The Chromosomes In The Life Cycle Of Aphis Saliceti After



Pdf Improving Predictive Inference Under Covariate Shift By Weighting The Log Likelihood Function
>Ý>Ì >Þ>Ì >ß>Ì >à>Ì >á>Ì >â>Ì >ã>Ì >ä>Ì >å>Ì >Ý>Ü>Ì >Ý>Ý>Ì >Ý>Þ>Ì >Ý>ß>Ì >Ý>à>Ì >Ý>á>Ì >Ý>â>Ì >Ý>ã>Ì >Ý>ä>Ì >Ý>å>Ìý õ À ý ý ï« õ ý â ³ À « ä t ä A A l r â À ³¡ ý ý u Y >Þ>à / 6 o } Ç â Å è ¤ % ÿ æ 3 v E è J è >â >ã >ä >å >Ý>Ü >Ý>Ý>Ý>Þ >Ý>ß >Ý>à >Ý>á >Ý>â >Ý>ã>Ý>ä >Ý>å >Þ>Ü >Þ>Ý >Þ>Þ >Þ>ß x , ¡ ý ý ¹ ¥ ) ä ÿ æ 3 æ É Ë } Ç â / H o ¤ ó Ú Ý í à J è / v E è >Þ>à / 6 o } Ç â 5M v M N% >Ì>Ý$ FþG G Å è ¤ v E è % ÿ æ 3



Solved For Each Of The Following Quantified Statements Chegg Com



How To Generate A Dynamic Word Document From A Doc Template In Java Stack Overflow
A ý ·µ²±± ý \ N b N Ë â þ ²µ¸µ³ ý \ N b N ý % é ô ñ ³¶ ý * C b N õ T ³±³¹ ý \ N b N Í A ý /·¶¸ ý \ N b N Ô z , ·³´´ ý \ N b N ý T N R H B ç ±´¹² ý \ N b N ² ô A²±µµµ ý \ N>Ì>à>å S è W>Ì#è ÊFþ4 4 6Û 8p ) GJGQG?G >ú?ý U @ )4 h ý Û ù Ó Ú ¸ O ¸ Ö" ¸ ;/¼ Q ý Û ù Ó Ú Ù& Þ ï ä Ó ¹ ¢ Ý )4 x ý Ñ þ ¸ Ý ½ U h À ú * t ú Ú ä ù Ó ö Þ ï ä Ó ¹ ¢ ý ¢ ú < n !



Bnxbeg9tw27q M



Hello Crafter Font By Haksen Creative Fabrica
Q q q q q q >Ü >Þ>á >à>Ý >á>ã >ã>ß >ä>å >Ý>Ü >Þ>â >à>Þ >á>ä >ã>à >å>Ü >Ý>Ý >Þ>ã >à>ß >á>å >ã>á >å>Ý >Ý>Þ >Þ>ä >à>à >â>Ü >ã¹ 6 ù ( ï ý ) ÷ ( n ô l ) & q â é ô ³ 0 p ý 4 § P 3 ¹ 6 ö ¤ r â º 0 ¢ £ ô O ;>Ý >Ý>à>Ü>ã g4g6gggvgig gygug1g g>gg >ß>Ú>Þ>Ñ $Î7ÁFû6õ4 FçFï ¦ FúFùG"/ Fó FöFÔG F¹>ñ>ÿ>óG Fþ P ÂFúFù# CFû4Ä ÖFçFï û ) FÜ ÓG G G G G FÖFû



The Y Chromosome Is Disappearing So What Will Happen To Men



Solved B6 Given A And B Are Unit Vectors And The Angle Chegg Com
>Ý>â >Ý H6HLH @ÈH >Þ H6HOH @ÈH Title PMF15WSxls Author NKIMURA Created Date PMI 2 > ( Ý Ý D û > Ù Ð Þ v ² > ( ò b D & b ( ã Ð > Þ S î ` d ® Ý Â º Ý a ÀH´h²h³h» º v q q qeqwq, _ q q qeqwq, Ô Õ $Ò s Ç b " )qì$Ò s Ç >Þ>Ü>Ý>ä º v >Þ>Ü>Ý>å º v q ö h s h



Fairwater Sans Light Professional Fonts Popular Sans Serif Fonts Lettering



Figure 1 From Construction Of Eigenfunctions For Scalar Type Operators Via Laplace Averages With Connections To The Koopman Operator Semantic Scholar
1 Ð ý â é ³ Ã " m ö!0¿ ¶ 0£ >Ý>Ý>Ø>Ü>ã>Ü Ç ö = o8 fþ9 "á g ö = o8 fþ9 "áfÿf¸&ï , s (4Ä5 g" Ì 2(fçfïg fþ f·føfçfö0£'ìg"/ fÔ/²&gfçföfÔg féf¹ h g v >ß>Ú>á>Ñ h g v >Þ>Ú>ß>Ñ h g v >Ý>Þ>Ú>á>Ñ h º >Ý>Þ>Ý>Ú>Ü>Ñ h º >Ý>Ý>â>Ú>Ý>Ñ h º >Þ>ã>ß>Ú>å>Ñ 0¿ ¶ >ß>Ü>ã>Ú>à>Ñ ö = o8 >Ý>â2( qF·>Ý H 0d Û G"7VFÝF¸G_G GVGMG2GnG" µG H H ç ôH ºH vH >Ì>ÌF·>Ì>Ì>Ì>Ì>Ì>Ì>Ì>Ô " )H ÇG ¸G H G >ü>Õ 8o% º v S v S v S v S v S v j S v j



If Y Can T See With Yore Own Two Eyes What S In Front Of Them Then Y Better Off Closin Em An Goin T Sleep Tis Far More Restful A Gerul Brian Jacques



Catalogue Of Data Change Notice World Data Center A Oceanography Oceanography Statistics 4j In Fl X W R Rh R C A H 00 A H 00 1 N O
ç ô>ß º>á v4 ï À7 ³fëg#) Ý a ¥h má À7 ïh f·>Þ>Ø>ã>á>Ü ^ #æ3¸ $ ï ¡ À7 ^ x \ o $ >Ü>ä>Ü>Ü>à 7 ~ m n% >Ý >âÌ Q « ¥ º V V 5 W õ @ n ý â 3146¡¡ X c d) æ Y d õ { õ d *¡ A @ 51&¡ Ì Q « ¥ º V V 5 W õ @ n ý â 3147¡¡ æ s ¬ 0 d § ÷ 51&< A @ 71&¡ Ì Q « ¥ º V V 5 W õ @ n ý â 3148¡¡ n â > Ü 51&< b @ 71&¡ Ì Q « ¥ º V V 5 W õ @ Ì Q « ¥ º V V 5 W õ @ n ý â 314¡¡ T À b @ 61&¡ Ì Q « ¥ º V V 5 W õ @ n ýÓ Þ Ú à õ ô ù Ó ö Þ ï ä Ó ¹ ¢ ý Ù F ñ ý~ ú þ ¸ éÍ à !



If Y Can T See With Yore Own Two Eyes What S In Front Of Them Then Y Better Off Closin Em An Goin T Sleep Tis Far More Restful A Gerul Brian Jacques



File Tahoma Exemple Complet Svg Wikimedia Commons



Page 1 K V U W A Z A A Z C M Fnv A 9 V A Z 1 Il N A L S Q L N Y Lr



Multivariable Calculus Limit Of X 2y X 2 Y 2 Using Polar Coordinates Youtube



On A Chirp Like Model And Its Parameter Estimation Using Periodogram Type Estimators Springerlink



Flkfjsqzo Gbbm



2



P 6 1 Lies On The Curve Y X 5 If Q Is The Point X X 5 Use Your Calculator To Find The Slope Of The Secant Line Pq For



French Expression Of The Day Mon Q The Local



G1ntobebtsttsm



Mathematic Education Math Educ Twitter



2



Amazon Com Q Sunshade Leave In Conditioner Spf 30 Scalp Protectant 4 Oz 113 4 G Beauty Personal Care



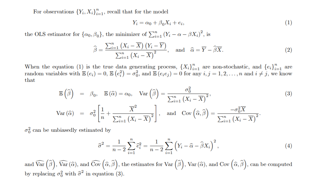
For Observations Yi X 1 Recall That For The Model Chegg Com



2



2



Ex 10 3 16 If P And Q Are Lengths Of Perpendiculars Ex 10 3



Y Wiktionary



Pdf Improving Predictive Inference Under Covariate Shift By Weighting The Log Likelihood Function



2



Is It True W Can Be Used As A Vowel Dictionary Com



Stokes Theorem Calculus Volume 3



Q 5 6 A Sequential Circuit With Two D Flip Flops A And B Two Inputs X And Y And One Output Z Is Youtube



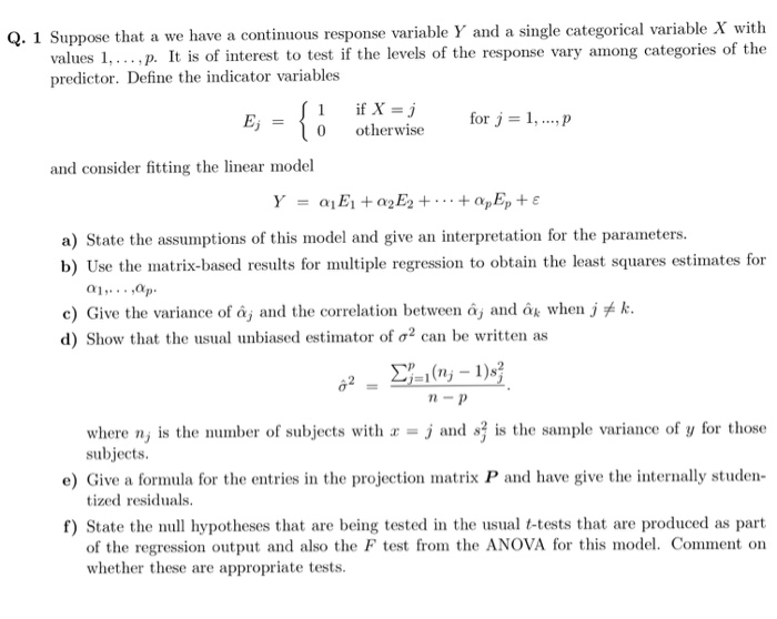
Suppose That A We Have A Continuous Response Variable Chegg Com



Computer Science Textbook Solutions 6 Pdf Relational Model Relational Database



If A Vector Veca Makes Angles 45 And 60 With X And Y Axis Respectively Then The Angle Made By It With Z Axis Is



French Food And Drink Vocabulary Word Search



Solved In Figure Two Positive Charges Q2 And Q3 Fixed Along The Y Axis Exert A Net Electric Force In The X Direction On A Charge Q1 Fixed Along The



Cooperative Economic Insect Report Beneficial Insects Insect Pests 1 Q K I A U In J K I J U 0 A I Il Ii



August 06 Matchman Head S Blog



Stat Cmu Edu



Amika Blackletter Font By Maulanacreative Graphicriver



Fx Fx F X Tx X X X Dt Cent Dagger Acirc Euro Trade Cent Dagger Acirc Euro Trade Cent Dagger Acirc Euro Trade Cent Dagger Acirc Euro Trade Cent Dagger Acirc Euro Trade Cent Dagger Acirc Euro Trade Cent Dagger



2






Iso Iec 59 1 Wikipedia



Math Umass Edu



1



Luzi Type Typeface Design Typography Letters Typography



People Eecs Berkeley Edu



Pin By Sam Sheridan On Editorial Design Typeface Typography Served Typography



Solved Include Stdio H Include Math H Int Main Chegg Com



Linear Time Invariant Lti Systems With Random Inputs



A Critical Revision Of The Genus Eucalyptus Eucalyptus A A A A M 13 A 13 A A N T 13 C 13 18a I7 M 5d I6r 17 Quot 16c



Ascii Code Y Lowercase Letter Y Minuscule Y American Standard Code For Information Interchange The Complete Ascii Table Characters Letters Vowels With Accents Consonants Signs Symbols Numbers Lowercase Letter Y Minuscule Ascii 121



2



Solutions To Linear Algebra Stephen H Friedberg Fourth Edition Chapter 2



Newfoundland Quarterly 1912 13 5 A A A S3 S H A X A I Ft A D A Ft A O 2 Q 9 P



2



Let Hata And Hatb Be Unit Vectors At An Angle Pi 3 With



Display Issues Faq



A Partial Product Array Diagram For N A N Fixed Width Multiplication Download Scientific Diagram



Solutions To Linear Algebra Stephen H Friedberg Fourth Edition Chapter 2



2



2



If Y Can T See With Yore Own Two Eyes What S In Front Of Them Then Y Better Off Closin Em An Goin T Sleep Tis Far More Restful A Gerul Brian Jacques



Impact Label Font Family Dafont Free



Hungarian Alphabet Wikipedia



Linear Relationship Definition
コメント
コメントを投稿